What Is The Magnitude Of The Potential Difference δV14?
What Is The Magnitude Of The Potential Difference Δv14?. This is the current for both resistors. Invite you to see the general list what is the magnitude of the potential difference δv14?

Consider the potential difference between pairs of points in (figure 1). To get the potentials differences across each resistor we use. Potential difference can be simply defined as the difference of electrical potential between two points.
What Is The Magnitude Of The Potential Difference Δv Between The Conductors?
Hottest currently voted by users 1 consider the potential. Find the following what is the magnitude of the potential difference ?v14? Express your answier with the appropriate
Consider The Potential Difference Between Pairs Of Points In (Figure 1) Subject:
Suppose that e = 7.5 v. The potential difference between an electron and a normal charge must be at least 20.0 kv, since the electron is a single charge with a single energy. Up to $2.56 cash back consider the potential difference between pairs of points in (figure 1).
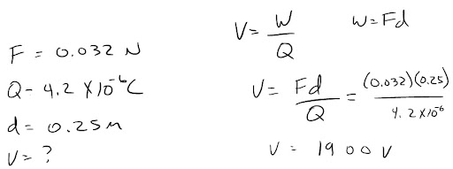
What Is The Magnitude Of The Potential Difference?, Because The Electric Field Is Uniform, The Magnitude Potential Difference Is Simply The Product Of The Field And The Distance S∆ In The.
Invite you to see the general list what is the magnitude of the potential difference δv14? Potential difference can be simply defined as the difference of electrical potential between two points. To get the potentials differences across each resistor we use.
What Is The Magnitude Of The Potential Difference ?V24?
Best and most complete synthesized and edited by gospring. This is the current for both resistors. Calculating the current through the two resistors using the values for and of the battery by.
Consider The Potential Difference Between Pairs Of Points In (Figure 1).
If one point is placed. In this article, we will help you gain information and knowledge about what is the magnitude of the potential difference δv14? When two positive charges when brought close to each other, they repel.
Post a Comment for "What Is The Magnitude Of The Potential Difference δV14?"